|
|
|
Last edited: 20 April 2023
|
Two clear Pyrex bowls can be clipped together to enclose the cook pot, creating an effective greenhouse enclosure.
A clear baking dish makes an excellent greenhouse enclosure.
Glazing is the term used in this article and throughout the solar industry to describe the glass or plastic coverings used in a solar cooker or collector. (In other industries glazing may refer only to products made of glass.)
In many solar cookers (especially in solar panel cooker designs), it is possible to cook using a dark pot with a lid without any glazing. However, glazing creates a greenhouse effect. The glazing "traps" the solar energy and increases the cooking efficiency.
All glazing blocks some sunlight, however the overall cooking efficiency increases with glazing especially under windy conditions. Thicker glazings generally block more sunlight than thin ones. Although two layers of glazing will in theory work better than one, in most solar cooking applications a single layer of glazing works well and is much simpler.
Matching 3.8 liters (1 gal.) clear Pyrex bowls work well in a clamshell assembly to hold a typical 2.8 liters (0.7 gal.) Graniteware covered circular roasting pan. There is little light refraction, as rays are able to penetrate straight into the spherical enclosure to the black roaster. In 2018, Alan Bigelow, Science Director for Solar Cookers International, conducted the Performance Evaluation Process testing protocol on the CooKit solar panel cooker, comparing two types of greenhouse enclosures. He found that using the Pyrex double bowl clamshell enclosure was 25% more effective at generating heat than using a plastic oven roasting bag.
Plastic oven roasting bags have been used extensively to create a greenhouse enclosure for inexpensive panel cookers. They are, however, considerably less efficient than the Pyrex bowl approach. Their advantages have included, inexpensive to buy and easy to ship. They are also difficult to clean if soiled with spilled food, especially in areas with a limited water supply. This has led to a disposal problem for plastic bags, which do not decompose when discarded. Are plastic bags still harmful to the environment when not burned?
Considerations[]
Different aspects of a 'greenhouse' must be considered. Take these into account:
- Proposed design: Box cooker, panel cooker or parabolic dish cooker? A box cooker is normally closed with a glass lid. Panel and parabolic cookers are sometimes operated without glazing, but glazing does improve the performance considerably. Panel cookers are well served by domes.
- Material: Glass can withstand high temperatures; not all plastics can. "Plastic vessels allow only 50% transmission of light while glass vessels allow about 90% transmission. This means that there is more solar energy delivered in glass versus plastic." Read more in the discussion section of this report...
- Size: Does the intended pot fit inside the glazing without touching the sides? How easily can the glazing be stored? A plastic bag can be folded, glass cannot.
- Availability: If you want to build more cookers, or replace a damaged one, can the glazing be easily obtained?
- Cost: Always an issue. Solar cooking and low budget go hand in hand.
- Ruggedness: Glass can break during use, transport or storage. Plastic is more forgiving. High-temperature oven bags are a convenient, still a disposable product. In refugee situations it may be difficult to obtain water to wash out the bags if any food has spilled on them.
- Lifecycle: Discarded plastic bags can end up in the environment where they can do damage to wildlife. For this reason many countries are now banning their use.
Possible candidates for heat traps are:
- Tempered glass
- Polypropylene bags
- Nylon (polyamide) bags, a common type of “oven bag”
- Polyester bags, a common type of “oven bag”
- High-density polyethylene (HDPE) bags — the crinkly-sounding bags with handles used to carry goods from stores in many countries, often bearing the #2 recycle symbol — are acceptable if mostly clear
- Inverted glass or Pyrex® bowls over the cooking pot.
Box Cookers[]
Box cookers usually have one side (the top) where light can enter. The glazing is flat and often surrounded by a frame.
Glass plates[]

For box cookers, clear window glass, standard single thickness (2.5 mm), has proved very satisfactory. Thinner glass has less tendency to crack from heat than thicker panes, probably because it heats more quickly and evenly, reducing thermal strains. Plate glass is very heavy and has been satisfactory only when tempered. Some designers choose single glazing for portable models with temporary second glazing as an option for poor weather. Often permanent double glazing is chosen for all-weather cookers and this is probably ideal where materials are available.
Window glass, although fragile, is usually available in urban areas, while tempered glass and synthetic glazings are specialty materials requiring unique supply lines. Window glass is available around the world and therefore in that respect is preferable. Glass does not degrade in sunlight and if protected from thermal strains and impacts, is more durable than most plastic glazings, even those that are treated against degradation by ultra-violet rays.
Low-iron glass allows more radiation to penetrate the glazing and makes a hotter oven but is not essential. One-way glazing has been found to reduce the function of a box cooker. Recycled automobile glass, particularly flat pieces from the side windows of vans, has been used successfully but even pieces that appear clear may be tinted to some degree to cut down on heat in the vehicle or have added materials to make safety glass. Both tints and all added materials block some solar radiation.
Glass may be tempered if desired although the cost of tempering is so high that occasionally replacing glass may be cheaper in the long run for home crafted solar box cookers. Glass that has simple heat cracks may be held in place by silicon sealant or nontoxic glue or a narrow strip of tape. Mass produced solar box cookers customarily use tempered glass.
Plastic plates[]
Transparent plastic twin-wall polycarbonate glazing, Seattle 2009
Reflective materials thickness vs. thermal transmittance
Reflective materials thickness vs. light transmittance
A large size cooking bag (heat-resistant nylon) can be cut open and glued on a frame to lay on top of the oven under the lid, or may be glued directly onto the lid like glass.
To work a plastic glazing, lay glue around the window opening, place the plastic, pull it tight and hold with masking tape until the glue sets. If desired, make a second glazing on the other side. Masking tape alone will not hold in the heat.
Pull it very tightly to reduce flutter on windy days as that will fan heat out of the oven. Such heat resistant glazings make very light ovens and are moderately durable but in time kitchen-grade plastic glazings become brittle. Thicker, oven-safe polyester glazings, some of which are treated to resist degradation by ultra-violet light, may be available as special order items.
Single strength window pane glass overlapping the window opening by 2 cm (0.8 in) attached with silicon sealant or glue may be used if preferred.
An oven having a permanent, double-glazed window, and a side door, resists wind chill best. Where the top is used as the door, the lid may be built with either a plug fitting down into the oven, or with a cap folding over the edges to help prevent wind from blowing heat out.
Most solar box cooker builders simply glue their glass or plastic glazing onto the cardboard of the lid. The cardboard is slightly flexible, reducing the incidence of thermal cracks in glass, yet providing good protection during handling. Some ovens have been made with a narrow strip of cardboard sandwiched on the outer edge between two pieces of cardboard frame thus providing space for glass. Such frames are either glued or stitched on the outer edge a finger width from the edge of the glass. Glass is allowed to move slightly within this casing and sealant is not essential.
Flexible glazing may be wrapped around a cardboard frame to give the two layers. Cardboard frames are simply laid on top of the oven under the lid.
Alternatively, frames for the glazing may be made of wood. For single strength glass in a wooden frame, a small (1/8 inch or .3 cm) clearance around the edge of the glass as it lays in the frame reduces breakage from thermal expansion. Glass is secured with a flexible sealant. The inner glazing must be well sealed to prevent heat leaking from the oven. Second glazings need a maximum of half an inch (2.5 cm) separation from the inner pane. Many home builders do not permanently seal two glazings together, but simply lay the second glazing, either glass or plastic, above a well sealed inner pane. This arrangement allows easy access for cleaning. Double glass panes if permanently sealed, require at least one small opening from the space between panes to the outside to relieve pressure which otherwise might break the glass.
Frames will be true if the pieces from opposite ends are squarely cut and equal. With equal lengths for opposite pieces, a frame can be squared by using the corner of any book, magazine or commercially cut piece of paper as a guide.
An insulating strip between the glazing frame and top of oven is not essential if the top surface is smooth. For irregular tops, solid commercial insulation strips work well if heat resistant. To make a crafted gasket, lay a bead of silicon sealant, paper mash or similar material on the top edge of the oven, cover it with waxed paper and close the lid. Remove the waxed paper when the sealant has hardened. The Dhauladar design by Didi Contractor uses a double fold of woolen fabric glued to the surface beneath the edge of the glass with a final fold brought up to rest on the top edge of the glass thus thoroughly wrapping the edge of the glass and binding it to the frame. It is a permanent seal as access in this design is through a door in the side.
Polyester film[]
Arie De Ruiter of Solar Cooker Workgroup Sliedrecht NL, reported in 2014 they successfully tested a polyester glazing material to be used as an alternative to glass glazing. It performed well in a variety of weather conditions. Contact cement was used to attach the material to wooden frames. Because the glue is not UV resistant, exposed glue areas were painted white with the frame edge. The advantages of the polyester film include: it is nearly weightless, it is cheaper and less fragile than glass, and mounting the material and transporting it is simple. Two rolls each of 10 kg foil will construct 150 clear windows of 65 x 65 cm and 4 mm thickness, enough to make 75 solar cookers with double glazing. The material is only offered in bulk for €250 and €50 shipping costs. The supplier in the United Kingdom is Hifi Industrial Film Limited.
Hifi Industrial Film Limited website: http://www.hififilm.com/products/type/clear-printable/
Standard oven cooking bags can be used unopened as a double plastic glazing on a box cooker.
Panel Cookers[]
A typical panel cooker differs from a box cooker in two aspects:
- The enclosed space is much smaller (usually it fits neatly around the pot);
- It allows light to enter not just from the top, but from all sides (this allows the use of panel-reflectors).
Usually, domes (salad- or fish bowls), cylinders or plastic bags are used as an enclosure around a pot; it usually depends on what is available.
Glass enclosures[]
In the original experiments that led to the invention of the CooKit, inventor Roger Bernard used a large glass salad bowl placed upside down over the pot to let in light and trap heat. Solar Cookers International has heard of people using large, clear, low-cost plastic or glass fish bowls instead of bags. (Try to check to be sure the plastic does not include floride, chloride or iodide additives). A Japanese solar cook uses a 25 cm diameter clear plastic dome that is sold as protecting young plants from frost. The Swedish Ikea chain offers a salad bowl named blanda, which is large (36cm diameter) and inexpensive. The glass brand Luminarc also offers a large salad bowl.
With glass domes, etc., there is a danger that a lot of condensation will form inside the dome, run down the sides, and soak the floor of the CooKit around the bottom of the dome. This could damage a CooKit. Therefore, people who use such bowls place the pot on a tray and fit the bowl onto the tray, so any pools of condensed water form on the tray, not on the foil/cardboard CooKit. To not interfere with reflection and absorption, the tray should be no bigger than necessary. Something thin and black would absorb sunlight and conduct heat into the pot. Something shiny would bounce a little more light to the pot. Something thick and metallic would work as a heat sink, absorbing and holding heat that would be more useful if conducted into the pot and from there into the food. In fact, this whole discussion about protecting the CooKit from dripping condensation is actually one of the best arguments for sticking with plastic bags.
Some of Sharon Cousins' alternative pot covers.
Sharon Cousins, who cooks in northern Idaho at 47 degrees north, high on a southwest facing ridge that is open to a fifty mile sweep of the prevailing winds, has put together several rigid cover options that do not risk damage to her cookers. One of her favorites is a one-gallon clear Pyrex bowl/casserole for the bottom and a large clear acrylic bowl for the cover. This will take her one-gallon black-painted enamel pot, her round graniteware roaster, and various other pots, and performs much better in cold or windy conditions than an oven bag. It also gives easy access to the food which is particularly helpful if the food will be improved by giving it an occasional stir (rice pudding, for example) or if foods will be added to the pot later in the cooking process (adding tender vegetables after tougher ones have begun to soften). A raised grate underneath allows light to strike the bottom.
Another favorite is to use a glass plate for the bottom (choices include heavy glass plates sold as holders for giant pillar candles or a larger glass round from a microwave oven turntable, purchased at a thrift store) and a clear bowl or vase or jar for the cover. A tall, heavy, straight-sided vase from a craft store does a terrific job of covering quart or half-gallon cooking jars and has performed well in cold and windy conditions with low sun. Another woman in northern Idaho has found a one-gallon glass jar that works well with a glass plate base as a cover for cooking jars. Yet another option is a clear glass apothecary jar with lid that will hold a quart cooking jar securely. A rigid cover also makes it much easier to clear condensation periodically, which can often make it difficult to keep foods at a good boil when using an oven bag. If you are cooking in the north, in cold or windy cconditions rigid covers will give you a big edge and are well worth the trouble to rig, and if you are on a budget, thrift shops and yard sales may provide creative and inexpensive options.
Daniel Joseph's glass cooking box.
Daniel Joseph, a soldier stationed in Kuwait, began experimenting with a larger, modified CooKit, and a glass box enclosure. The glass box offers a good view of the pot, nicely supported on a wire rack.
Cooking directly inside glass containers[]
Sometimes, a glass container is used without a pot. The food inside is heated directly by the sun.
Juan Urrutia Sanz has several recommendations when using glass bottles or containers:
- You can cook food of any color, except green pepper, which becomes colorless and hard.
- Fish with black skin is simply cooked by exposing skin to direct sun. For frozen hake fillets, place a fillet in a small container. It is not necessary to cut the fillet. After three quarter of an hour in the sun around noon, the fish is cooked.
- With food of that is light colored, add things with color such as: paprika, food coloring, bay leaves, red peppers...
- You must always cook with some liquid, at least a layer of water at the bottom of the pot.
- Glass containers can be of any size, from small for individual servings to large, and you can cook several containers at once. He recommends that they narrow and be of equal volume.
- Lids should be black or painted black. He does not recommend cork caps, rubber or other material that degrade in the sun or heat.
- In general, follow the same guidelines from other solar cookers, such as the sizes of the pieces, etc.
Jar-in-jar cooking chamber[]
Glass jar inside of another glass jar cooking chamber
Bernhard Müller has created a small cooking chamber and pot combination by inserting a black painted glass jar, with metal top, inside of a slightly larger clear glass jar with a similar top. The two metal tops should be either riveted or screwed together with stainless screws.
An extremely important feature is to punch a pressure relief hole through both tops. Without it, there is danger of explosion. Care should be taken when cooking with glass jars to avoid accidental breakage. Some jars, like the Mason style used for food canning, are made with heavier glass than is typically used in commercial food sales. While stronger, it does not compare to the strength of Pyrex cookware. The inner jar painted black will become quite hot.
Pot-in-a-pot[]
If you can get one, a cooking pot with a neatly fitting glass pot around it is very good. Often the pot fits inside a glass bowl, and the pot itself is again closed by a glass lid. A matching bowl-and-pot which are not made to fit together are not easy to find; you may have to think outside the box.
If you place a Pyrex bowl, which is larger than the pot beneath, there will be a good chance some escaping moisture may de directed downward. This may potentially damage the base of a cardboard solar cooker. Consider placing a flat glass pan under the cookpot.
Dr. Steven Jones has used a dark pot inside a Pyrex dish instead of a plastic bag. |
Two bowls can be clipped together to enclose the pot. |
Two Pyrex bowls enclosing a porcelain cooking bowl without a cover. |
Plastic enclosures[]
Twin-wall polycarbonate glazing material is often used for greenhouse glazing. It was used in experimenting with a cooking enclosure for the Panel-Box Cooker. It can be disassembled for flat storage. It appears however, the double-wall tube section of the polycarbonate reflects some light away from the pot, limiting its efficiency.
Roger Haines has tested a flexible sheet of polycarbonate wrapped into the shape of a cylinder for a cooking enclosure. It requires a round cook pot with a substantial lip that sits at the top of the enclosure. He reports good results using an enclosure that surrounds the sides but is not covered at the top. It performs better with a glass top on the pot.
A bakery style polycarbonate cover can replace plastic cooking bags and increase heating temperatures, despite wind or cold air. Dry heat temps inside with no food or water will reach over 175 °C (347 °F) in summer. More information
Polypropylene and high density polyethylene (HDPE)[]
Polypropylene and high-density polyethylene (HDPE) are both used in autoclaves which sterilize medical instruments at much higher temperatures than solar cookers normally get. Thus, these plastics are usually available in most countries. HDPE is also widely used for grocery bags worldwide--not the soft, clear plastic, but the crisp, "noisy," slightly milky transparent bags. These HDPE bags are generally quite inexpensive. If nearly transparent, these work almost as well as the much more expensive oven cooking bags made of polyester or nylon. The thickness of the plastic film does not affect the heating of the oven, but may affect its strength and lifetime.
Sun Scoop Lite with polypropylene food containers as glazing enclosures
Clear polypropylene food containers that are food grade #5 recyclable typically can handle the temperatures of a cooking pot like any autoclave bag and offer advantages. More and more countries are outlawing the production and use of any type of plastic bag since they are such an environmental problem. In 2017, Kenya enacted the world's toughest plastic bag ban. [1] Polypropylene containers can be round, square, rectangle, tall or short, as long as they closely fit the cooking pot. Clarity of the container will affect cooking efficiency, the clearer the better.
Teong Tan suggests folding down the extra bag to form a partial double glazing over the pot. We need research to know whether this really is an advantage.
Another option, offered by Steve Harrigan, is to use a container made from the same polypropylene material as cooking bags. These containers are typically available at grocery stores for microwave cooking and can withstand temperatures high enough for solar panel cookers. Look for the recycle number 5 on the bottom of the container. While costing more than individual bags, they offer greater convenience when checking food while it is cooking, and potentially save money if bags are replaced frequently.
Polycarbonate[]
Ingelore Kahrens constructs cylindrical polycarbonate pot covers that are set over the pot.
Plastic bags[]
Reynolds Oven Bags, Oven bags are available in most supermarkets in the developed world. They work well enough, but newer cooker designs are incorporating more durable enclosure approaches for better efficiency and durability.
Plastic oven roasting bags have also been used extensively to create a greenhouse enclosure for inexpensive panel cookers and have even been used as the top glazing on box cookers. These are, however, considerably less efficient than the Pyrex bowl approach. While they are inexpensive to buy and easy to ship, they are difficult to clean if soiled with spilled food, especially in areas with a limited water supply. This leads to a significant number of plastic bags being disposed of rather than reused. Plastic bags have also been banned in a number of countries (see below).
Buying heat-resistant plastic bags
- Terinex Limited manufactures clear heat-resistant oven bags that can be used for solar cooking applications, particularly as a heat trap surrounding the cooking pot in panel-type solar cookers. The bags are made from a unique polyester-based film (TSP02™) that is resistant to oils, fats and grease, and withstands temperatures above 200 °C (392 °F). Contact: Richard Hawke, Group Quality and Technical Services Manager, Terinex Limited. Tel: +44 (0)1234 364411, Richard.Hawke@terinex.co.uk
- Webstaurant Store - Bulk cooking bags in bulk
- Extra Packaging - Oven bags, cooking bags, reheating bags
- Flavor Seal - Cooking bags
Are plastic bags harmful to the environment?
- Production of plastic bags consumes almost no energy, because the chemical changes from oil to these plastics are minor molecular changes. The amount of fossil fuel (oil) needed to produce a plastic bag is a tiny fraction of that consumed when someone instead cooks a meal with paraffin (kerosene). Not all plastics give off harmful fumes when heated or burned, only those containing chlorides, fluorides or iodide additives, such as PVC pipes and styrenes (styroStyrofoamre there is insufficient oxygen. Others, including all plastic bags used in solar cooking (polyethylenes, polypropylenes and polyesters), are all simple hydrocarbons which, when heated or burned, give off only minute quantities of carbon dioxide and water (steam), but no toxic fumes. After bags are worn out, they can be safely burned as fuel--just like paraffin or wood. They can also first be re-used. For example, in the solar cooking field projects sponsored by Solar Cookers International in East African refugee camps, refugees have used traditional weaving skills to make baskets, pot hangers, mats, ropes and other useful items from worn out solar cooking bags.
- October 2017: Kenya brings in world's toughest plastic bag ban - Producing, selling and using plastic bags becomes illegal as officials say they want to target manufacturers and sellers first. The east African nation joins more than 40 other countries that have banned, partly banned or taxed single use plastic bags, including China, France, Rwanda, and Italy Read more... Primarily aimed at single use plastic bags, this may be a game changer for solar panel cookers, which typically use plastic oven cooking bags as greenhouse enclosures. See: Polypropylene food container alternate to plastic bag glazing
Plastic bag accessories
- Where plastic bags are most difficult to replace, one answer being tried is to make small frames that hold the plastic bag around the pot to insulate it but keep the bag from actually touching the hot pot, so that the bag does not heat up as much and thus lasts longer. A frame designed by Mr. Gnibouwa Diassana of Mali, by twisting stiff electrical wire into shape keeps the plastic bag away from the hot pot when cooking in a CooKit solar cooker.
- Matthew Rollins has designed a collapsible pot stand to work with a cooking bag enclosure.A simple wire frame allows lower-quality plastic bags to be used for cooking by keeping the plastic away from the hot cooking pot.
Glazings using sheet material[]

The polypropylene (PP) bags that are distributed with CooKits in the United States are typically reusable a few dozen times before they become brittle. More durable alternatives have been tested over the years, including polyester sheets with ultraviolet (UV) inhibitors, formed into bags using tape.
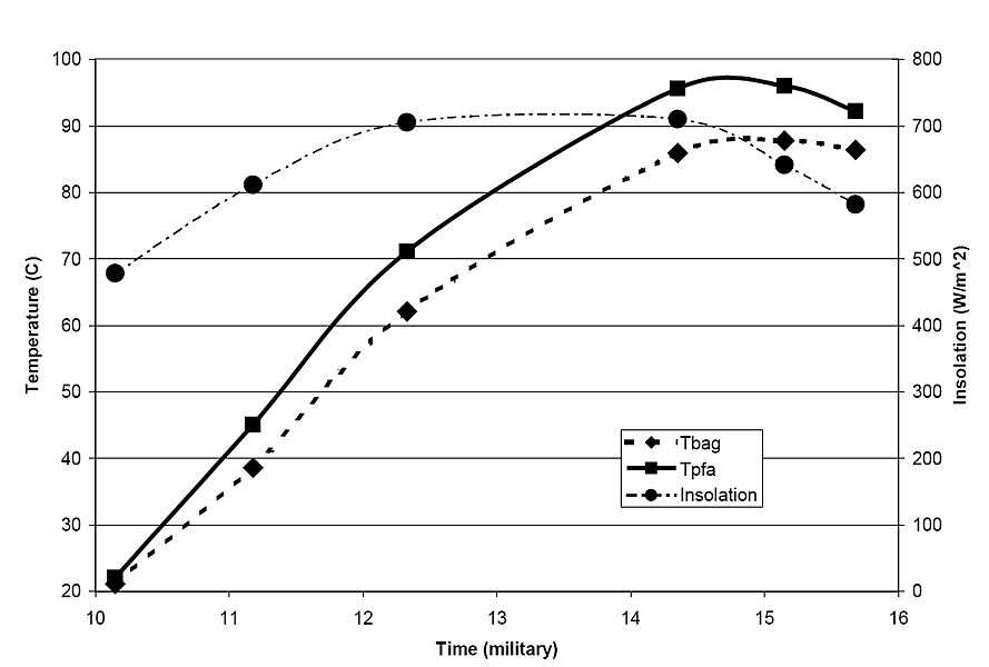
Studies by Dr. Dale Andreatta, a mechanical engineer, and Stephen Yen, a graduate student in electrical engineering, indicate that perfluoro alkoxy fluorocarbon (PFA) may also be a good alternative. Though expensive, PFA can withstand temperatures over 250 °C (482 °F) and is UV stabilized.

Andreatta obtained a 60 cm (23.6 in) by 60 cm (23.6 in) sheet of the transparent material and tested it for transmissivity and longevity. On a clear day, the PFA sheet was nearly as transmissive as the PP bag (0.95 vs. 0.97) when perpendicular to the sun, and equally as transmissive (0.87) at a 45-degree angle. Over a testing period of several months, PP bags degraded with exposure to sunlight alone, and faster when exposed to sunlight and heat. PFA held up well across both types of exposures and appears to be much more durable than PP in typical solar cooking environments.
Dr Ashok Kundapur has suggested another way to make a housing out of flat plastic sheeting. A bottom cylinder is supported by wire frame while a transparent cover, made of the same plastic material, makes access to the food very easy. This arrangement can also be used for retained-heat cooking.
Andreatta performed side-by-side solar cooker tests of the plastics, in which two identical black pots were filled with equal amounts of water. One pot was placed in the standard PP bag and cinched at the open end. The other pot was wrapped with the PFA sheet as follows: the sheet was centered on the top of the pot and wrapped beneath the pot in such a way that the weight of the pot held the bottom of the sheet closed, preventing most air leaks. (Any air leaks would be under or near the bottom of the pot where little warm air escapes.) Both pots were then placed in CooKits and exposed to sunlight. Temperatures were measured throughout the day using thermocouples located approximately in the center of each pot. The cookers were re-oriented twice during the measurement period. As the graph shows, the water in the PFA-wrapped pot rose to a higher temperature faster and held that temperature longer.
Since transmissivity of the two plastics is essentially the same, Andreatta believes that the performance difference is mostly due to volume air that surrounds the pot when placed in a bag versus wrapped with a sheet. A thin layer of air between the plastic and the pot is ideal because it insulates the pot from heat loss to ambient air. However, if the layer is too thick, air begins to circulate around the pot and convective heat loss increases. Also, heat losses to ambient air increase as the surface area of the plastic increases. Therefore, Andreatta theorizes that the PFA sheet performed better because the air layer created when the plastic sheet is wrapped around a pot (1.5 to 2.5 centimeters) is smaller than when a bag is used, as is the overall surface area of exposed plastic.
A theoretical study of heat loss confirms this. Using reasonable assumptions regarding pot temperature, and ignoring possible effects of evaporative heat transfer, Andreatta found that heat loss ranged from about 84 watts for a 1 cm (0.4 in) air space to 115 Watts for a 10 cm (3.9 in) centimeter air space. The bulk of the heat loss was by radiation.
Andreatta concludes that plastic sheets, wrapped carefully around pots, can be used as an alternative to plastic bags and may marginally increase performance. He also suggests that less expensive, UV-stabilized plastics may outlast PP bags even if they are not quite as heat resistant as PFA, though further tests should be conducted under actual cooking conditions.
Ehmler design[]
Rollins design[]
The late Matthew Rollins designed a polyester cooking sleeve that can be unrolled after cooking. It includes a similarly styled top and an aluminum circular base plate.

Some solar cookers use plastic bags wrapping the pot as a glazing. Normally, heat-resistant bags such as oven cooking bags are used. These stand up to the heat of solar cookers very well. If normal plastic bags are used then the bag should not touch the cooking pot because it may melt or embrittle the bag at those places, resulting in holes through which heat escapes. Various wire frames have been designed for this purpose.
Polyethylene terephthalate, or PET[]
Polyethylene terephthalate, or PET is a clear shiny plastic often used for single-use liquid bottles. Larger gallon size bottles with the bottom removed would seem to make a reasonable glazing cover for a small cook pot. However, there appears some evidence that the material is not suited to high heat applications. Water bottles left in the hot sun have shown toxic leaching of material into the water.
A study conducted by scientists at Arizona State University in 2008 looked at how heat sped up the release of antimony in PET bottles. Antimony is used to manufacture the plastic and can be toxic in high doses, the NIH reports. In mild, 21-degree centigrade weather, the researchers measured safe levels of the chemical in the bottled water. But the hotter the day, the less time it took for water to become contaminated. [2]
It is unclear if toxic out-gassing would also occur with a PET plastic solar cooking glazing enclosure. Possibly safest to explore other glazing options.
Haines Solar Cooker circular cover[]
Circular glazing on the Haines 1 solar panel cooker
On the Haines 1 solar cooker and the Haines 2.0 cooker a circular cover keeps the reflector rigid in the wind and creates "oven-like" conditions around the cooking pot. The cover is made from a 60 cm (23.6 in) diameter circle of 0.5 mm UV-resistant polycarbonate film. For increased rigidity, a radius cut is overlapped 7 cm (2.8 in) to form a flat cone like a sun hat. The overlap is secured by a string connecting grommet holes in the cover and the reflector. To access the pot, the cover can be moved to the side, as shown in upper left of the photo.
Research needed[]
How much does an enclosure improve the cooking capacity of a panel cooker?[]
Using a solar cooker with a 'naked' pot is like operating an oven with the door open; the food will get warm, but having the pot surrounded by a blanket of hot air it is a lot more efficient. A pan can exchange heat in three ways: by radiation, by convection and by conduction. Inside a 'greenhouse' or oven, the air helps to transfer heat to the pan. All three effects work in parallel to transfer heat to the pan. Operating without an enclosure means the pan must be heated by radiation alone while convection and conduction are removing heat.
- In a side-by-side water heating test, Arthur Stamey-Mills found that a pot enclosed in a plastic bag heated the water to a temperature 30% higher than did a pot without a plastic bag.
Teong Tan found that a black pot with a clear lid without a plastic bag heated faster than a normal dark pot with a dark lid inside a plastic bag. See Greenhouse enclosure comparisons. |
Michael Bonke has experimented with covering the entire CooKit style cooker with a glazing film. |
- Main article: Research topics
How much does double glazing improve cooking?[]
This depends on the transparency of the glazing and the insulation properties. In general, double glazing is better than single glazing, but it is also more complex and more expensive than single glazing. Cooking with single glazing is a huge improvement compared to cooking with no glazing; Although double glazing may be even better, the real question is whether the improvement warrants the extra expense and complexity.
Double glazing will shine in situations where insulation properties are important, such as in cold, windy, or cloudy conditions.
Cheap alternatives to double glazing can be:
- Use a bigger reflector to increase the amount of sunlight
- Decrease the size of the enclosure. This decreases the outer surface area (which is exposed to cool air) and thus the amount of heat loss. For example: If you have replace a glass dome of 36 cm (14.2 in) diameter by a 30 cm (11.8 in) one, the outside surface area decreases by 30%. The outside surface of a 50 cm (19.7 in) by 50 cm (19.7 in) by 30 cm (11.8 in) box cooker decreases by almost 10% if you make it 25 cm (9.9 in) tall instead of 30.
Audio and video[]
- May 2021: Dave Oxford of SLiCK explains which type of heat trap works the best
Research papers[]
- January 2017: Exergy applied to the heat conduction analysis in glass covers of a solar cooker box-type with internal and external reflectors - Terres H, et al
- February 2008: Greenhouse enclosure comparisons - Teong Tan
- December 2020: Insulating Glass Keeps Getting Better - Fine Homebuilding
See also[]
- The Haines Solar Cooker uses a circular plastic "shield" to enclose the cooking space.
- An in-depth look at solar cooking - Ed Pejack
- Insulation
- Greenhouse effect
External links[]
- Greenhouse Enclosures Comparison - Teong Tan
- Solar cooking results with various glazing covers (June, 2010) - Pat McArdle
- Investigation of Polycarbonate as a Suitable "Greenhouse" Material for the Solar Cooker - John Harrison
- An Analysis of Greenhouse Cookpot Design Considerations For Low-Cost Solar Cookers - Philip Fairey (Florida Solar Energy Center)
















